本文章轉載自3D視覺工坊
0、步態規劃
四足機器人控制當中,步態是至關重要的一項。我們可以簡單理解成四足機器人運動過程中各腿的狀態,在這套設計方案中,我們對步態的規劃主要分成兩大主要部分,即接觸狀態和周期函數。而步態規劃的目的,就是創建一個關于的足端接觸狀態的周期函數。
1、接觸狀態
四足機器人行進過程中,根據足端與地面是否發生接觸,我們可以規定各條腿的兩種接觸狀態,即接觸(contact)與擺動(swing)
總控制器會根據步態規劃給出的狀態,移交至對應的控制器去處理,即擺動腿控制器(swing leg controll),接觸腿控制器(contact leg control)。
對于這兩種狀態,可以簡單地用一個布爾類型的值s來定義,即

對于周期性的步態規劃,我們可以用下標Φ來進行區分,可以寫成:

2、步態周期
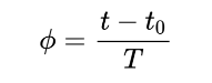
四足機器人的運動歸根到底都是周期運動,我們無須量化機器人運動的整個過程,因此如何量化定義一個完整的步態周期顯得極為重要,在此我們使用基于時間的周期函數,定義一個基準相位值,公式如下:

其中,
· t:當前運行時間
· t0:當前周期開始時間
· T:一個步態周期
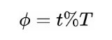
同樣我們可以利用取余的方法來簡化上述周期函數,兩者并無實質的區別:

其中,
· %為取余運算
· T為當前運行時間
對于相同類型的周期信號,我們可以利用相位差來表征周期函數之間的差別,因此有了基準相位函數之后,我們就可以利用其來定義各條腿的相位,如下式:

其中,Φi,offset為第條腿與基準相位的相位差。
3、周期函數效果演示
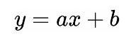
這里簡單利用一個線性函數進行演示:

取a=1,b=1,其圖像隨時間變化如下:

利用周期函數對時間進行調整,可以使其變成周期函數,設定周期為2s,時長為10s,其圖像如下:

從圖像可以看出,剛好為5個周期,一個周期為一個尖角。接下來,為更好的觀察各曲線相位,我們設定該直線函數的3個周期,其相位差(offset)分別為[0,1,3,4],圖像如下:

從上圖可以看出,我們的“尖角”會根據相位差,向前或向后平移。此方法對所有函數均適用,以下為利用sin函數進行的測試效果:

4、步態規劃
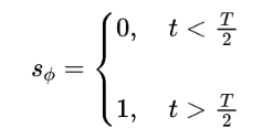
因為我們的四足機器人足端,是在不停地與地面接觸,懸空(擺動),所以這里說的步態規劃,其實指的的一個連續(離散)時間上的接觸序列。
我們以一條腿為例,本質上,可以看作是一個周期性的,用于生成各腿接觸狀態的階躍函數。其輸入值為時間,輸出值為0或1,函數可以表示成如下:

其中t=t%T為時間的周期函數,其圖像如下所示:

可以看出,步態規劃器給出的是一段由0-1組成的接觸序列。接下來加上相位關系。以tort步態為例,其相位為[0, 0.5, 0.5, 0],步態規劃隨時間的圖像如下所示:

5、總結
綜上,我們利用階躍函數得到一串由0和1組成的序列,來表示四足機器人足端與地面的接觸狀態。根據不同的接觸狀態,再交由其他運動控制器進行控制,如接觸狀態,就由mpc模型計算出所需要的反作用力;而擺動狀態,就交由擺動控制模塊計算足端的擺動軌跡,最后根據需要的不同的行走姿態,確定個條腿之間的相位差,實現各腿的協同運動。

山東優寶特智能機器人有限公司(簡稱“優寶特機器人”)是山東省政府引進的高科技企業。公司核心團隊具有山東大學、中國科學院自動化所等知名院校背景,長期進行人工智能、特種機器人研究與開發。公司入選山東省“泰山產業領軍人才計劃", “濟南市引進海內外高層次創業人才計劃”。獲“國家級高新技術企業”、“山東省專精特新中小企業”、山東省創新型中小企業“濟南市瞪羚企業”等榮譽。是應急管理部煤礦機器人協同創新中心、礦山機器人創新應用聯盟、山東院士專家聯合會人工智能與機器人專業委員會、山東省教育廳機器人與智能系統協同創新中心、山東省自動化學會等組織的成員理事單位。
公司致力于腿足式仿生機器人和液壓特種機器人產品開發,產品已應用于煤礦、電力、石化、教育等行業。申報并承擔國家級項目2項、省部級項目2項。項目“電動四足機器人關鍵技術及應用”獲山東省技術發明獎二等獎。公司榮獲第十一屆中國創新創業大賽山東賽區“科創之星”稱號。
公司申請專利50多件,已經授權發明專利12件、實用新型專利3件。獲“第四屆山東省專利獎二等獎”。




